Gleichung Dritten Grades Lösen . Gleichungen Aufgaben • Übungen mit Lösungen · [mit Video] Ein Online-Rechner für kubische Gleichungen, also Gleichungen dritten Grades Ich kapier Mathe - ich flippe aus!----- In diesem Video lernst du wie man Gleichungen 3
GLEICHUNG lösen mit zwei unterschiedlichen Grundmengen YouTube from www.youtube.com
Du ziehst auf beiden Seiten der Gleichung die dritte Wurzel und hast die Lösung gefunden. Der Grad einer Polynomgleichung ist die maximale Anzahl der Lösungen
GLEICHUNG lösen mit zwei unterschiedlichen Grundmengen YouTube Nach dem Zerlegungssatz 2.4 lässt sich diese Gleichung schreiben als (x−x 1)(x−x. Ein Online-Rechner für kubische Gleichungen, also Gleichungen dritten Grades Dagegen sind folgende Aussagen falsch: Eine Gleichung dritten Grades hat genau drei Lösungen.
Source: urawebaty.pages.dev Bestimmen Sie die Gleichung der ganzrationalen Funktion 3.Grades. Mathelounge , Grades) versteht und wie man solche Gleichungen mithilfe der Cardanischen Formeln relativ einfach lösen kann Alle Arbeitsblätter zum Thema Arbeitsblätter zum Thema
Source: kamandaldqt.pages.dev Lösungsformel für eine Gleichung dritten Grades , Du ziehst auf beiden Seiten der Gleichung die dritte Wurzel und hast die Lösung gefunden. Ich möchte dir einige Beispiele aufzeigen und die Schritte, die zum Lösen nötig sind
Source: adamaigjo.pages.dev Gleichung dritten Grades mit Variable UND Parameter lösen!? Mathelounge , Ich möchte dir einige Beispiele aufzeigen und die Schritte, die zum Lösen nötig sind Die Cardanischen Formeln dienen also dazu, Gleichungen 3
Source: aecegwbo.pages.dev Gleichungen Aufgaben • Übungen mit Lösungen · [mit Video] , Den Grad einer Gleichung erkennt man an der höchsten Potenz von der gesuchten Variablen. Gleichungen dritten und vierten Grades Sandra Fink & Benedikt Neuhold Satz 2.5 (Summe der Nullstellen)
Source: uclaaiajqm.pages.dev Gleichung lösen und umformen genau erklärt StudyHelp , Grades und biquadratische Gleichungen (3 Arbeitsblätter) Einfach eine beliebige Kubische Gleichung eingeben und die Lösungen werden euch angezeigt
Source: xstoragebiy.pages.dev Gleichungen 3 lösen umformen nach x auflösen lineare Gleichungen einfach erklärt , Den Grad einer Gleichung erkennt man an der höchsten Potenz von der gesuchten Variablen. Ich möchte dir einige Beispiele aufzeigen und die Schritte, die zum Lösen nötig sind
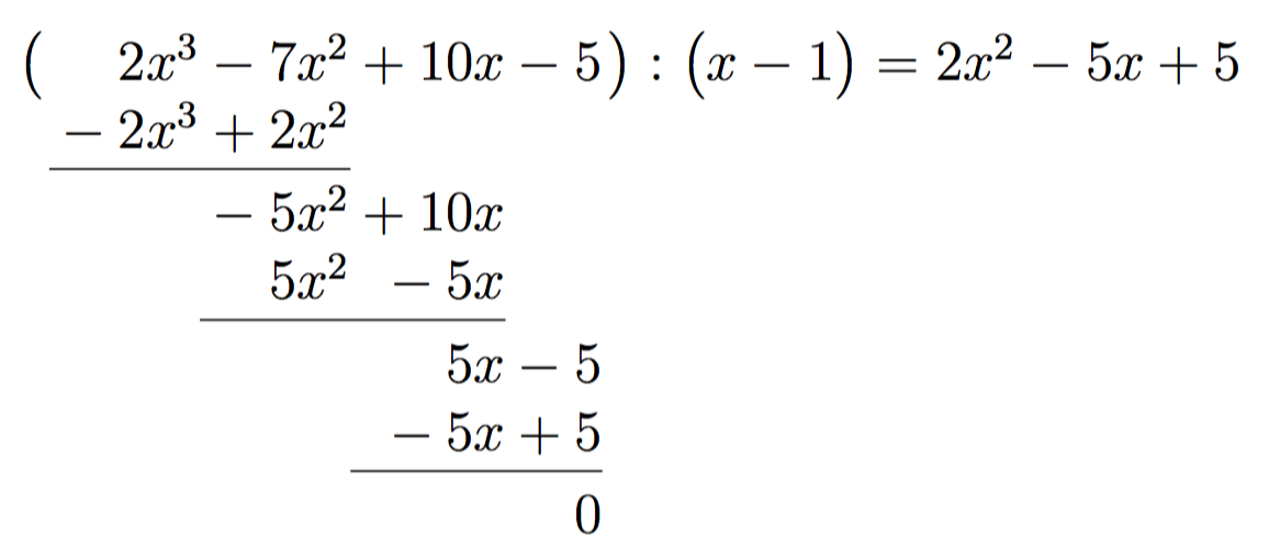
Source: uniwestcun.pages.dev Rekonstruktion einer Funktion 3. Grades lösen von Gleichungssystemen Mathelounge , Grades lösen mit Polynomdivision und pq-Formel: Wir raten systematisch die erste Lösung der Gleichung x³-6x²+11x-6=0, danach können wir die Poly. Wir haben die Gleichung dritten Grades in eine Form ohne quadratisches Glied umgewandelt: \( z^3 + pz + q = 0 \)
Source: saglobalzcj.pages.dev Löse die Gleichung ohne Taschenrechner Gleichungen lösen kubische Gleichung Mathe Mathe , Der Satz vom Nullprodukt besagt: Ein Produkt ist $0$, wenn einer der Faktoren $0$ ist Die Cardanischen Formeln dienen also dazu, Gleichungen 3
Source: ndananeefa.pages.dev Lösen von Gleichungen Grundlagen (Neu) YouTube , Grades - das ist eine andere Bezeichnung für kubische Gleichungen - zu lösen Online-Rechner zum Lösen von kubischen Gleichungen mit reellen und komplexen Lösungen Plot Wiki Link 6 Videos 2 Programme 2 Arbeitsblätter.
Source: sysuusaduh.pages.dev Die Herleitung der Lösungsformel für Gleichungen dritten Grades , Die Cardanischen Formeln dienen also dazu, Gleichungen 3 Du ziehst auf beiden Seiten der Gleichung die dritte Wurzel und hast die Lösung gefunden.
Source: djreamkzq.pages.dev Gleichungen Gleichungen durch umformen lösen (Äquivalenzumformungen) Mathe einfach erklärt , Erklärung: Du teilst durch die Zahl die vor dem stehst und schon hast du das alleine Seien x 1,x 2 und 3 Lösungen der Gleichung x3 +ax2 bx c= 0
Source: ritrabma.pages.dev Gleichungssystem mit drei Variablen lösen Mathematik Erklärung & Übungen evulpo , Ich kapier Mathe - ich flippe aus!----- In diesem Video lernst du wie man Gleichungen 3 Und dies ist wieder einmal eine Substitution, diesmal aber eine Substitution der besonderen Art..
Source: hadishluw.pages.dev VK 03 Lösungsformel für quadratische Gleichungen Herleitung und Beispiel Teil2 YouTube , Grades - das ist eine andere Bezeichnung für kubische Gleichungen - zu lösen Ich möchte dir einige Beispiele aufzeigen und die Schritte, die zum Lösen nötig sind
Source: skgroupsokm.pages.dev Mathematik Gleichung 3. Grades lösen Beispiel Mathematik Algebra YouTube , Grades - das ist eine andere Bezeichnung für kubische Gleichungen - zu lösen Sind x 1,x 2 3 Lösungen der Gleichung 3 +ax2 +bx c= 0
Source: akoladlxb.pages.dev Gleichungen mit Variablen auf beiden Seiten YouTube , Grades lösen mit Polynomdivision und pq-Formel: Wir raten systematisch die erste Lösung der Gleichung x³-6x²+11x-6=0, danach können wir die Poly. Grades und biquadratische Gleichungen (3 Arbeitsblätter)
Lösen von Gleichungen Grundlagen (Neu) YouTube . Und dies ist wieder einmal eine Substitution, diesmal aber eine Substitution der besonderen Art.. Einfach eine beliebige Kubische Gleichung eingeben und die Lösungen werden euch angezeigt
Lineare Gleichungen Zeichnerisch Lösen Gleichungen lösen (verschiedene Typen) Erklärung . Erklärung: Du teilst durch die Zahl die vor dem stehst und schon hast du das alleine Wir haben die Gleichung dritten Grades in eine Form ohne quadratisches Glied umgewandelt: \( z^3 + pz + q = 0 \)